(jh) 18 Uhr. Die Wahllokale schließen. Es folgt jetzt nicht nur das Auszählen. Auch das Zittern bei den Parteien erreicht den Höhepunkt. Wie schneiden die Direktkandidaten ab, wie die Parteien? Um ein Bundestagsmandat haben sich in Straubing beworben:
11.30 Uhr:
Hier ein Vergleich zwischen den Ergebnissen 2017 und 2022 hinsichtlich Erst- und Zweitstimmen.

10.40 Uhr:
Inzwischen gibt es auch ein detailliertes Ergebnis aus dem gesamten Wahlkreis 231 (Stadt Straubing und die Landkreise Straubing-Bogen und Regen):


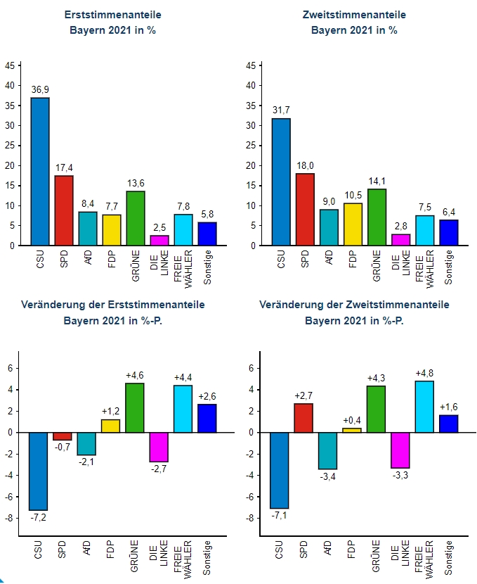
7.35 Uhr:
Das die CSU sowohl bei den Erst-, als auch Zweitstimmen bayernweit über 7 Prozent einbüßt, das zeigt die Auswertung des Bayerischen Landesamtes für Statistik. Verluste auch bei der AfD und der „Die Linke“. Die höchsten Zuwächse bei den Erststimmen können die Grünen verbuchen. Bei den Zweitstimmen bauten im Gegensatz zu 2017 die Freien Wähler ihren Anteil aus.

7.15 Uhr:
Im Wahlkreis 231 (Straubing-Regen) konnte sich Alois Rainer (CSU) durchsetzen. Jedoch musste er bei den Erststimmen einen Verlust von 3,3 Prozent hinnehmen, seine Partei sogar einen Verlust von 6,6 Prozent.

6.25 Uhr:
Der Bundeswahlleiter hat vor wenigen Minuten das vorläufig amtliche Ergebnis bekanntgegeben:

Demzufolge liegt die SPD mit einem knappen Vorsprung von 1,6 Prozent vor der CDU/CSU. Die Partei „Die Linke“ gehört in der neuen Wahlperiode mit 4,9 Prozent eigentlich nicht mehr dem Bundestag an. Sie schafft den Einzug dank dreier Direktmandate und ist damit in Fraktionsstärke im Parlament vertreten. Die Wahlbeteiligung lag bei 76,6 Prozent – etwa gleich viel wie vor fünf Jahren (76,2).
1.30 Uhr:
Bis Montag, 1.30 Uhr kann die Stadt Straubing auf ihrer Webseite immer noch kein Ergebnis für alle Stimmkreise anzeigen! Das digitale Zeitalter ist noch nicht überall präsent.
Stattdessen gibt es seit 1.09 Uhr eine neue deutschlandweite Hochrechnung. Demzufolge wäre jetzt die Partei „Die Linke“ nicht mehr im Bundestag – außer Kandidaten würden über die Erststimmen ins Parlament einziehen.

23.45 Uhr:
Es gibt eine weitere Hochrechnung – Stand: 23.34 Uhr. Wir haben die Ergebnisse inklusive der Gewinne und Verluste hinzugefügt.

23.30 Uhr:
Offensichtlich gelingt es im Bereich Straubing und Straubing-Bogen nicht, die letzten vier Stimmbezirke in die Ergebnisliste einzufügen. Es liegt uns keine Mitteilung vor, woran dies liegt. Wir möchten aber dennoch jetzt das bisherige Ergebnis (339 von 343 Stimmbezirke) vorzulegen:


22.33 Uhr:
Im Bereich Straubing und Straubing-Bogen fehlen immer noch die Ergebnisse aus vier Stimmbezirken. Ausgezählt wurde in 339 von 343 Stimmbezirken. Sobald diese vorliegen, werden wir auch dieses Ergebnis bekanntgeben. Bei den Zweitstimmen zeichnet sich eine Reihenfolge von CSU, SPD, FW und AfD ab. Anders bei den Erststimmen: CSU, AfD, SPD und FW. Die Grünen liegen sowohl bei den Erst-, als auch bei den Zweitstimmen unter sieben Prozent. Aber: wir haben noch vier Stimmbezirke zu berücksichtigen.
21.30 Uhr:
Das Ergebnis im Wahlkreis 231 – hier der Landkreis Regen – liegt vor. Die Stimmzettel sind ausgezählt.

Erste Auffälligkeiten: Der örtliche SPD-Direktkandidat Dennis Schötz hat in seinem Landkreis auch nicht mehr Stimmen auf sich vereinen können, als vor fünf Jahren seine Vorgängerin Johanna Ueckermann im gesamten Wahlkreis. Er liegt nahezu gleichauf mit der AfD-Kandidatin Corinna Miazga, gefolgt vom FW-Kandidaten Helmut Muhr.
Auffällig auch, dass der CSU-Kandidat Alois Rainer erneut Einbußen hat. Seine Verluste fallen hauptsächlich den Kandidaten von SPD, AfD und FW zu. Ähnlich sieht es auch bei den Zweitstimmen aus. Die Grünen spielen im Landkreis Regen eine recht geringe Rolle. Hier erhält die sogar die FDP mehr stimmen. Die Direktkandidaten von FDP und Grünen liegen weit abgeschlagen gleichauf.
20.22 Uhr:
Es gibt eine weitere Hochrechnung mit Gewinn- und Verlustzahlen – Stand: 20.15 Uhr

20.20 Uhr:
Von den verschiedenen Umfrageinstitute hatte Allensbach am Freitag dieses Umfrageergebnis bekanntgegeben und kam damit sehr nahe an das heutige Wahlergebnis heran:

20.15 Uhr:
Hochrechnung um 20.13 Uhr mit Daten der Forschungsgruppe Wahlen:

20.00 Uhr:
Der Wahlkreis 231 umfasst die Stadt Straubing und die Landkreise Straubing-Bogen und Regen. Die bisherigen Wahlkreisdaten kommen aus der Stadt Straubing und dem Landkreis Straubing-Bogen. Wir werden jedoch im Laufe des Abends auch die Daten aus dem Landkreis Regen einfließen.
Zurück zur Bundestagswahl im Jahr 2017. Damals lebten 221.700 Menschen im Wahlkreis 231. 172.975 Personen waren wahlberechtigt. 74,8 Prozent von ihnen gingen zum Wählen. Dabei erreichte Alois Rainer (Haibach) von der CSU 47,6 Prozent und zog damit zum zweiten Mal in den Bundestag ein. Die CSU erhielt 41,9 Prozent der Zweitstimmen. Das Ergebnis von Alois Rainer und der CSU bei der Wahl im Jahr 2013 viel so aus: 61,23 Prozent bei den Erststimmen und 57,79 Prozent bei den Zweitstimmen.
19.37 Uhr:
Inzwischen sind die Hälfte der Stimmen im Wahlkreis Straubing ausgezählt. Kleine Veränderungen zeigen sich:


19.07 Uhr:
Die ersten Ergebnisse aus dem Wahlkreis Straubing:


19.03 Uhr:
Zweite Hochrechnung mit minimaler Veränderung:

18.45 Uhr:
Erste Hochrechnung

Das bedeutet eine Gewinn-Verlust-Situation: CDU/CSU (-8,7), SPD (+5,3), AfD (-2,5), FDP (+1,1), Linke (-4,2), Grüne (+5,8). Es handelt sich um ein Kopf-an-Kopf-Rennen. Die Stimmen sind noch nicht ausgezählt. Es kann sich durchaus noch eine Verschiebung geben.
18.37 Uhr:
Vom Wahlkreis 231 Straubing liegen noch keine Schnellmeldungen vor.
18.05 Uhr:

Es wird also ein langer Abend werden. Die Linke erlebt eine Zitterpartie ob sie im Bundestag bleibt. Keine Chance auf alle Fälle für die Freien Wähler.
Der Prognose zufolge Gewinne und Verluste: CDU/CSU (-8,9), SPD (+5,5), AfD (-2,6), FDP (+1,3), Linke (-4,2), Grüne (+5,6), Sonstige (+3,5)
18.00 Uhr:
In den insgesamt 299 Wahlkreisen in Deutschland treten zur Bundestagswahl 2021 47 Parteien zur Wahl an, insgesamt zugelassen sind 54 Parteien. Es treten insgesamt 6211 Bewerberinnen und Bewerber an und damit auch so viele wie nie zuvor. Gegenüber der Bundestagswahl 2017 ist die Zahl der Kandidatinnen und Kandidaten um fast 1400 gestiegen.
Im Wahlkreis Straubing/Regen treten diese Direktkandidaten an:
CSU: Alois Rainer
SPD: Dennis Thomas Schötz
GRÜNE: Erhard Grundl
FDP: Klaus Eugen Herpel
AfD: Corinna Miazga
DIE LINKE: Maximilian Spielbauer
UNABHÄNGIGE: Thomas Knott
ÖDP: Michael Ludwig Hirtreiter
dieBasis: Tobias Huf
Die PARTEI: Marco Michael Schimpfhauser
BP: Thomas Josef Schmid
Team Todenhöfer: Johann Otto Janik
FW: Helmut Muhr
Wir berichten hier weiter!
